Public Record slot revenue
-
olds442jetaway
- Video Poker Master
- Posts: 11625
- Joined Forum: August 21, 2007
- View Player Page
Public Record slot revenue
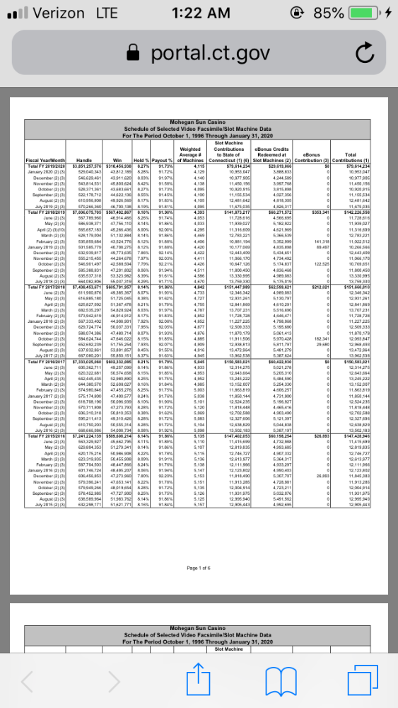
Here is a screenshot from the State of Ct portal on recent results for Mohegan Sun. The player return has been in the same 91-92 percent range since they opened. I wish they didn’t lump vp in with slots, but they do. I would be curious if the gang has access to similar information where they play and how it compares.
-
tech58
- Video Poker Master
- Posts: 1488
- Joined Forum: March 11, 2014
- View Player Page
OLDS I would like to try for that info for MI. Looks like you are in regular CT. gov. site and not a casino regulatory agency. Will try that. Thanks.
-
olds442jetaway
- Video Poker Master
- Posts: 11625
- Joined Forum: August 21, 2007
- View Player Page
Ok good luck

























